Consideraciones sobre
“Cómo ser feliz”
Ernesto Lorenz · 25/11/2025
Ofelia es de las figuras más interesantes de la escena política actual. Sus intervenciones, por fuera de los lugares comunes de la clase política, invitan siempre a pensar desde otras perspectivas. Es su tono disruptivo, acaso su intención de ser la voz de una generación, tal como busca en su reciente documental, lo que la ubica como una de las voces más interesantes para escuchar. En esa línea, con ese deseo de intervenir en el debate actual, apareció “Cómo ser feliz”, documental protagonizado por ella y publicado por Corta.
Desde su publicación, se generó mucho debate con respecto a los datos que utiliza y algunas de las ideas planteadas. A grandes rasgos, Ofelia retoma mucho de lo que Jonathan Haidt señala en su libro La generación ansiosa: Por qué las redes sociales están causando una epidemia de enfermedades mentales entre nuestros jóvenes, un libro que ha recibido numerosas críticas en torno a su enfoque y cómo se llega a ciertas conclusiones. Haidt sostiene, y así lo menciona también Ofelia, que el 2010 fue un punto de inflexión en términos de salud mental, consecuencia del marcado aumento en las tasas de ansiedad, depresión y suicidio. En las explicaciones de este fenómeno, Haidt señala, entre otros factores, la aparición del “like” y la cámara frontal de los smartphones con el Iphone 4.
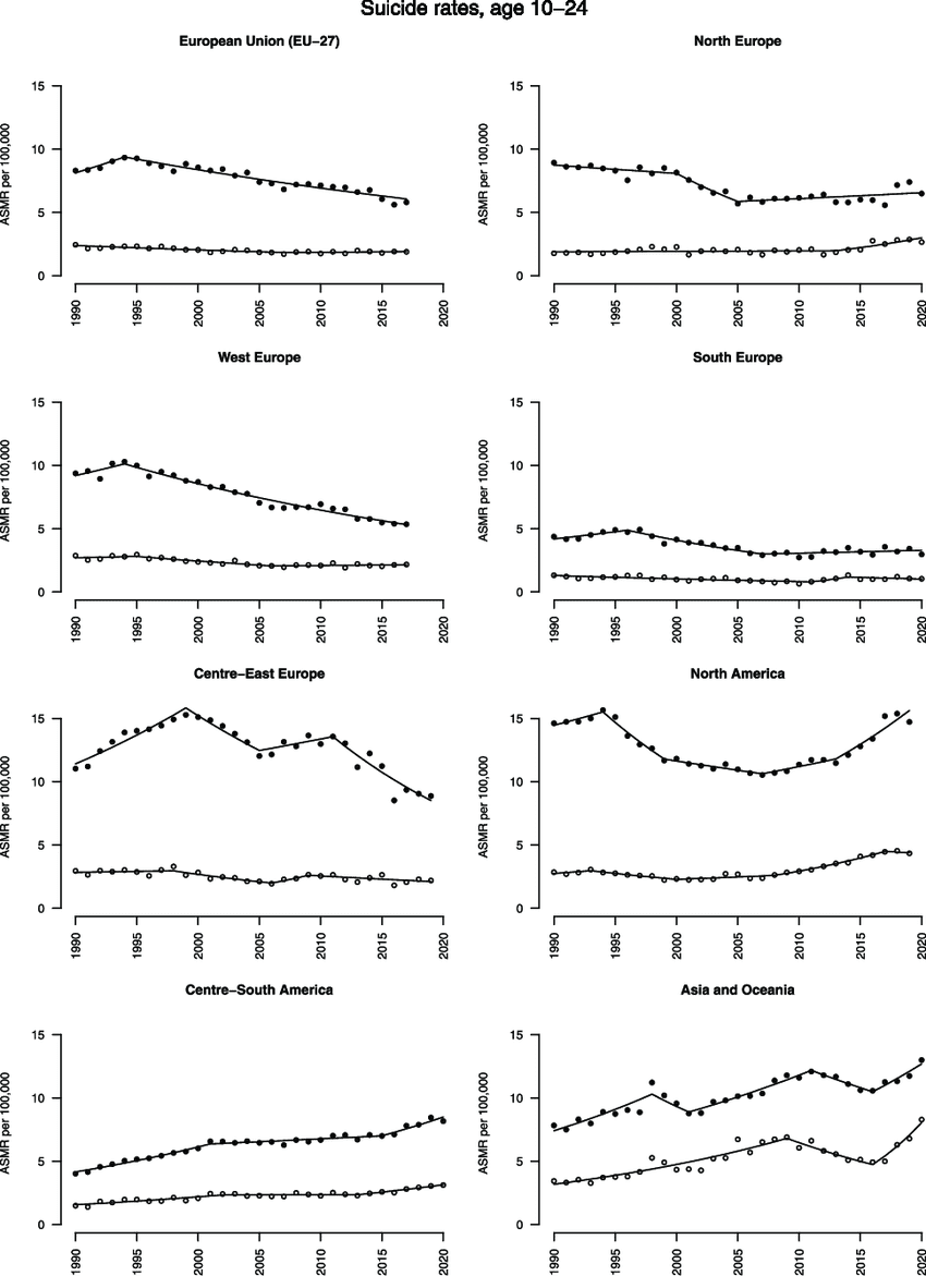
Estos son en gran parte los datos y argumentos sobre los que basa su lectura Ofelia en su documental para dar cuenta de una problemática generacional. Al finalizar el video, menciona también que no hay datos sobre salud mental en Argentina, que los que hay son insuficientes, fragmentados y discontinuos. Más allá de las críticas que se le pueden hacer a Haidt, sobre lo que cabe detenerse también, me interesa en primer lugar detenerme sobre los datos que sí hay en Argentina. Al menos en lo que respecta sobre suicidios, no es cierto que en Argentina no haya datos. A continuación, dejo imágenes de los datos que encontré respecto al tema: un gráfico de los datos a nivel global y otros dos de Argentina divididos por género (estos últimos de un informe del Observatorio del Desarrollo Humano y la Vulnerabilidad de la Universidad Austral).



Al menos como aproximación, lo que puede decirse del gráfico 1 de los datos a nivel global es que no hay una tendencia marcada en aumento recién desde 2010 en Sudamérica. En cualquier caso, lo que sí podría decirse es que desde la década del 90 la tendencia va levemente en aumento. Pero también si miramos los datos en Argentina desde 2017 a 2023 lo que se encuentra es un relativo estancamiento: un aumento en suicidios por parte de mujeres a partir de la pandemia pero un decrecimiento en el número en los varones. Haidt toma para sus hipótesis los datos de Estados Unidos, que son los que se ven en el gráfico 1 y en los que sí hay una marcada tendencia en aumento desde 2010. Sin embargo, al hacer una valoración más general, se puede decir que los datos no marcarían ese punto de inflexión que marca Haidt y que es lo que retoma Ofelia. Esta es una de las fuertes críticas que se le realiza a Haidt con respecto a la utilización maniqueísta de los datos para sostener sus ideas.
No todo es droga
Desde la deuda del país hasta los celulares. Pareciera que cualquier problemática tiende a ser leída en clave de adicción. No creo que lo mejor para analizar el vínculo con los celulares sea desde la perspectiva de una adicción. En todo caso, de seguir esa perspectiva, no pensaría que la adicción refiera al soporte en sí. A lo mejor se podría pensar desde otro tipo de vinculación, una en relación a la postura planteada por el tecnofeudalismo, por ejemplo: un vuelco más hacia la esclavitud que a la adicción.
Si bien depende mucho de tu profesión, hay personas que no pueden llevar a cabo su trabajo sin Whatsapp. Hay una demanda permanente de información, de comunicación y respuestas. En ese sentido, no es que la persona se haya vuelto adicta. Lo que sucede es que hay una dependencia enorme consecuencia de que no se concibe el mundo de hoy de otra manera. La dependencia no deriva de una adicción, sino de un modo nuevo de socialización entre nosotros. No descubrimos nada nuevo, pero el sujeto de hoy no es el mismo que hace cincuenta años.
Todo avance tecnológico previo, como la radio, la televisión o los videojuegos, ha generado un pánico moral de la sociedad respecto a cómo afecta a los jóvenes. Mi idea no es señalar que los celulares están arruinando a los jóvenes de hoy en día, ni tampoco decir que está todo bien, que no pasa nada, que los celulares y la tecnología solo trajo efectos positivos. A lo que me opongo es al tono catastrófico y apocalíptico con el que se aborda la temática en el documental. No creo, en verdad, que haya sido la intención de Ofelia. Pero las discusiones que retoma y la perspectiva planteada termina por dar lugar a esa visión en extremo pesimista. No se trata tampoco de ser integracionista, ni un vuelco por lo positivo. Es para entender que no hay un modo unidireccional de entender esta cuestión, sino que tiene múltiples facetas. Todas conviven al mismo tiempo sin contradecirse.

Otras miradas
Hace poco, Natalí Incaminato (La Inca) comentó en un debate sobre el carácter incluso romántico de las redes sociales. La posibilidad que brindan de explorar y exponer subjetividades a través de la construcción de identidades. Menciona una faceta de las redes y la tecnología más allá de la ajenidad con la experiencia sensible, apuntando también a una expresión de la personalidad. Me parece interesante para retomar esta mirada distanciada de lo apocalíptico. Luego, por supuesto, todo eso entra en una codificación en la que, al mismo tiempo, entran nuevas problemáticas como la ruptura de la singularidad. Pero sirve también para pensar como una cosa convive al mismo tiempo con la otra, el objeto adquiere dimensiones y resonancias que se articulan.
Quizás convenga indagar los problemas de salud mental más en relación a los efectos de un capitalismo tardío que meramente al uso de los celulares. Mark Fisher en su libro Realismo capitalista retoma a Frederic Jameson para analizar algo de todo esto: “Jameson observa que la teoría de la esquizofrenia de Lacan ofrece un «modelo estético interesante» para intentar entender la fragmentación de la subjetividad con vistas a la emergencia del complejo industrial del entretenimiento […] El esquizofrénico lacaniano queda reducido a la experiencia del puro significante material, en otras palabras, a una serie de presentes puros en el tiempo, desconectados entre sí”. Esto da lugar, señala Fisher, a pensar en el déficit de atención y la hiperactividad como patologías propias de la instancia del capitalismo en la que nos encontramos. Estamos entonces frente a “una generación para la cual el tiempo siempre vino cortado en microrrodajas digitales predigeridas”.
Al mismo tiempo, vemos en Argentina como a los docentes y distintos profesionales se les exige una permanente formación y actualización de sus saberes, que se dispongan en un estado de adaptación constante a nuevas realidades y cambios. Todo eso se incrusta dentro del mandato neoliberal de rentabilidad permanente y que tampoco dista de lo que es la subjetividad mediática de redes, individualidades que deben valorizarse a sí mismas todo el tiempo. No se puede pensar, de ninguna manera, que todo eso nos deja sin afectaciones psicológicas
No quiero dejar de mencionar que como intervención el documental es muy fructífero. Invita a la discusión y probablemente sea usado por varios docentes para pensar la cuestión junto a los adolescentes, de esa manera está pensado. Las repercusiones que ha tenido así lo indica también. Todo lo mencionado hasta acá es solo para matizar algo en torno a la perspectiva o el tono con el que se enfoca el tema, dar lugar solo a ciertas aproximaciones.

Recordá que si te gusta lo que hacemos podés suscribirte. De esa manera nos ayudas a seguir creciendo.





